


El origen de los estudios, relacionados con las pruebas de hipótesis estadísticas, se sitúa alrededor de 1738, cuando en un ensayo escrito por Daniel Bernoulli(1) aparece el cálculo una estadística de prueba para ensayar su hipótesis en el campo de la astronomía. Entre 1915 y 1933 se desarrolla esta formulación gracias a los estudios realizados por tres grandes autores: Ronald Fisher(2), Jerzy Neyman(3) y Egon Pearson(4). Hoy en día predomina la teoría de Neyman-Pearson (lema de Neyman-Pearson).
Una hipótesis estadística es una afirmación o conjetura acerca de los parámetros de la distribución de probabilidades de una población. Si la hipótesis estadística especifica completamente la distribución, entonces ella se llama Hipótesis Simple, de otra manera se llama Hipótesis Compuesta.
Desde el punto de vista clásico, todas las pruebas de hipótesis trabajan en base a ciertos principios que consideran:
Es la hipótesis a probar, ésta NO se rechaza si de la muestra no se obtiene suficiente evidencia para rechazarla.
La hipótesis Ho se contrasta con la hipótesis Ha, y ésta
última corresponde a valores alternativos del parámetro planteados en la
hipótesis nula. La hipótesis \(Ha\) se
considera cierta si existe suficiente evidencia para rechazar la
hipótesis nula.
Es una función de la muestra que contiene información sobre el
parámetro de interés, la que nos permite decidir sobre el rechazo de la
hipótesis nula, Ho . Es tambien una variable aleatoria que
sigue una función de distribución conocida como por ejemplo:
Para una muestra determinada se obtiene un valor del estadístico de prueba, a partir del cálculo y se determina el rechazo o no, de la hipótesis nula.
También llamada región crítica (RC), define los valores
del estadístico de prueba para los cuales la información muestral
contradice la hipótesis nula. Estos valores nos permitirán adoptar una
regla de decisión consistente. Una prueba de una hipótesis estadística
es un procedimiento que permite, mediante el contraste entre la
información muestral y lo propuesto en una hipótesis, decidir sobre su
rechazo.
Una prueba de una hipótesis estadística es un procedimiento que permite, mediante el contraste entre la información muestral y lo propuesto en una hipótesis, decidir sobre su rechazo.
De esta manera, como una regla de decisión, si para una muestra
particular el estadístico de prueba (valor calculado) cae dentro de la
región crítica, rechazaremos la hipótesis nula Ha en favor
de la hipótesis alternativa Ha. En cambio, si el valor
calculado no cae dentro de la RC, no podremos rechazar la hipótesis nula
y por tanto decimos que la información contenida en la muestra no ofrece
suficiente evidencia estadística que nos permita
rechazarHo`, ASUMIMOS que la hipótesis nula es cierta.
Cuando se decide ya sea en favor o en contra de una determinada prueba de hipótesis, es posible estar en una de las cuatro situaciones descritas en la siguiente tabla:

Existen dos situaciones en las que se comenten errores después de tomar una decisión:
Cuando se rechazamos una hipótesis nula que en realidad es verdadera.
Tomando como simil la situación donde un médico desea determinar si un
paciente está sano o enfermo (Ho: SANO vs Ha:
ENFERMO), es posible que concluya que el paciente está enfermo (rechace
Ho) cuando en verdad esta persona esta sana. En términos de
probabilidad este error se debe de representar como: \[P(\text{Rechazar } Ho | Ho \text{ es verdadera})=
\alpha\]

Para ilustrar el error tipo I, podeos acudir aun evento ocurrido a una estudiante que después de realizar una donación de sangre fue requerida por la clinica benefactora, pues el examen que le habían practicado a la sangre donada, presentaba signos de estar infectada por hepatitis c. Esto prendió las alarmas en la casa y fue llevada por la familia a que se le realizaran otros exámenes para confirmar el diagnostico inicial. Las segundas pruebas evidenciaron que se trataba de un error. Este caso constituye un caso de falso positivo (Se diagnostica como enferan, cuando en verdad esta sana)
Cuando no se rechaza una hipótesis nula que en realidad es falsa. Utilizando el ejemplo del médico, diríamos que cuando el medico indica que el paciente esta sano, cuando esta realmente enfermo, incurre en un error frecuente cuando algunos pacientes son asintomáticos y aunque tienen la enfermedad, sus exámenes médicos salen negativos. En este caso la probabilidad se representa como:
\[P(\text{No rechazar} Ho | Ho \text{ es falsa}) \]

Para ilustrar el caso del error tipo II, recurrimos a lo acontecido en el Tour de Francia, donde el ciclista estadunidence Lance Armstrong gano esta competencia seis veces de manera consecutiva y aunque fue acusado de dopin, no se le pudo comprobar. Fue solo en el 2012 cuando el mismo admitió haber usado EPO. Podemos decir que durante su vida deportiva los exámenes practivados dieron negativos, estando el dopado. Este caso se cataloga como falso negativo.
No es posible minimizar simultáneamente, las probabilidades de los errores tipo I y II, ya que en la medida que uno disminuye el otro aumenta, como se muestra en la figura siguiente, en la que claramente se ve que la reducción del área \(\alpha\) (probabilidad de error tipo I), implica el aumento del área \(\beta\) (probabilidad de error tipo II).
Se llaman pruebas de hipótesis metrificaras debido a que para su realización se deben verificar el cumplimiento de supuestos sobre parámetros.
La potencia de una prueba de hipótesis es la probabilidad de rechazar correctamente la hipótesis nula (\(Ho\)) cuando en realidad es falsa.
Potencia $ = P( Ho | Ho ) = 1-$
La potencia mide qué tan “sensible” es nuestra prueba para descubrir diferencias reales.
Una prueba con poca potencia puede pasar por alto diferencias importantes, como un detector poco calibrado.
Diseñar una buena prueba implica equilibrar \(\alpha\) (riesgo de falsa alarma) y \(1−\beta\) (capacidad para detectar cambios reales).
El siguiente gráfico representa los valores de \(\alpha\), \(\beta\) y permite visualizar el área correspondiente a \(1-\beta\), es decira la potencia de la prueba, en este caso
\[Ho: \mu \leq 1000\] \[Ha: \mu > 1000\]
# =============================================================
# app.R — Aplicación Shiny: Visualización de la potencia de una prueba
# =============================================================
# Carga las librerías necesarias
library(shiny) # para construir la aplicación web interactiva
library(ggplot2) # para crear los gráficos
# -------------------------------------------------------------
# 1. INTERFAZ DE USUARIO (UI)
# -------------------------------------------------------------
ui <- fluidPage( # Crea una página fluida (responsive)
# Título principal de la aplicación
titlePanel("Potencia de una prueba de hipótesis"),
# Estructura principal: panel lateral + panel central
sidebarLayout(
# Panel lateral (controles de entrada)
sidebarPanel(
# Control deslizante para el nivel de significancia α
sliderInput("alpha", "Nivel de significancia (α):",
min = 0.01, max = 0.20, value = 0.05, step = 0.01),
# Campos numéricos para los parámetros de la prueba
numericInput("mu0", "Valor de μ₀:", value = 1000, step = 10), # valor hipotético bajo H₀
numericInput("mu1", "Valor real de μ (μ₁):", value = 1020, step = 5), # valor verdadero bajo H₁
numericInput("sigma", "Desviación estándar σ:", value = 50, step = 5), # desviación estándar poblacional
numericInput("n", "Tamaño de muestra n:", value = 30, step = 1) # tamaño de muestra
),
# Panel principal (salidas gráficas y texto)
mainPanel(
plotOutput("powerPlot"), # área donde se mostrará el gráfico
verbatimTextOutput("resumen") # salida de texto con resultados numéricos
)
)
)
# -------------------------------------------------------------
# 2. SERVIDOR (SERVER)
# -------------------------------------------------------------
server <- function(input, output) {
# Renderiza el gráfico de potencia
output$powerPlot <- renderPlot({
# Toma los valores ingresados por el usuario
mu0 <- input$mu0
mu1 <- input$mu1
sigma <- input$sigma
n <- input$n
alpha <- input$alpha
# -------------------------------------------
# Cálculos estadísticos principales
# -------------------------------------------
# Valor crítico para prueba unilateral derecha (H₁: μ > μ₀)
z_alpha <- qnorm(1 - alpha) # percentil (1 - α)
x_critico <- mu0 + z_alpha * sigma / sqrt(n) # media muestral crítica
# Cálculo de β y potencia
z_beta <- (x_critico - mu1) / (sigma / sqrt(n)) # estandarización bajo H₁
beta <- pnorm(z_beta) # probabilidad de no rechazar H₀
potencia <- 1 - beta # potencia = 1 - β
# -------------------------------------------
# Preparación de los datos para graficar
# -------------------------------------------
# Secuencia de valores de la media muestral para graficar las curvas
x <- seq(mu0 - 4 * sigma / sqrt(n), mu1 + 4 * sigma / sqrt(n), length = 1000)
# Densidades bajo H₀ y H₁
f0 <- dnorm(x, mu0, sigma / sqrt(n)) # distribución bajo H₀
f1 <- dnorm(x, mu1, sigma / sqrt(n)) # distribución bajo H₁
# Se combinan los datos en un data.frame
df <- data.frame(x, f0, f1)
# -------------------------------------------
# Construcción del gráfico con ggplot2
# -------------------------------------------
ggplot(df, aes(x)) +
# Curvas de densidad para H₀ (roja) y H₁ (azul)
geom_line(aes(y = f0), color = "red3", size = 1.2) +
geom_line(aes(y = f1), color = "blue3", size = 1.2) +
# Área roja = región de rechazo (α)
geom_area(data = subset(df, x >= x_critico),
aes(y = f0), fill = "red", alpha = 0.5) +
# Área azul = error tipo II (β)
geom_area(data = subset(df, x < x_critico),
aes(y = f1), fill = "blue", alpha = 0.5) +
# Línea vertical en el punto crítico
geom_vline(xintercept = x_critico, linetype = "dashed") +
# Etiquetas y títulos del gráfico
labs(title = "Distribuciones bajo H₀ y H₁",
subtitle = "Área roja = α, Área azul = β",
x = "Media muestral",
y = "Densidad") +
# Tema visual minimalista
theme_minimal(base_size = 14)
})
# -------------------------------------------------------------
# Cálculo y despliegue del resumen numérico
# -------------------------------------------------------------
output$resumen <- renderPrint({
# Se repiten los cálculos para mostrar resultados en texto
mu0 <- input$mu0
mu1 <- input$mu1
sigma <- input$sigma
n <- input$n
alpha <- input$alpha
# Estadísticos y probabilidades
z_alpha <- qnorm(1 - alpha)
x_critico <- mu0 + z_alpha * sigma / sqrt(n)
z_beta <- (x_critico - mu1) / (sigma / sqrt(n))
beta <- pnorm(z_beta)
potencia <- 1 - beta
# Impresión de los resultados
cat("Resumen de la prueba:\n")
cat("----------------------\n")
cat("Hipótesis: H₀: μ ≤", mu0, " vs H₁: μ >", mu0, "\n")
cat("Valor crítico =", round(x_critico, 2), "\n")
cat("Probabilidad de error tipo I (α) =", alpha, "\n")
cat("Probabilidad de error tipo II (β) =", round(beta, 4), "\n")
cat("Potencia de la prueba = 1 - β =", round(potencia, 4), "\n")
})
}
# -------------------------------------------------------------
# 3. LANZAR LA APLICACIÓN
# -------------------------------------------------------------
shinyApp(ui, server)

Los parámetros más importante a los que se les realizan pruebas de hipótesis son : \(\mu\), \(p\) y \(\sigma^{2}\), en el caso de una población :
| parámetro | prueba de dos colas | prueba de cola inferior | prueba de cola superior |
|---|---|---|---|
| \(\mu\) | \(Ho: \mu = \mu_{o}\) | \(Ho: \mu \geq \mu_{o}\) | \(Ho: \mu \leq \mu_{o}\) |
| \(Ha: \mu \neq \mu_{o}\) | \(Ha: \mu < \mu_{o}\) | \(Ha: \mu > \mu_{o}\) | |
| \(p\) | \(Ho: p = p_{o}\) | \(Ho: p \geq p_{o}\) | \(Ho: p \leq p_{o}\) |
| \(Ha: p \neq p_{o}\) | \(Ha: p < p_{o}\) | \(Ha: p > p_{o}\) | |
| \(\sigma^{2}\) | \(Ho: \sigma^{2} = \sigma^{2}_{o}\) | \(Ho: \sigma^{2} \geq \sigma^{2}_{o}\) | \(Ho: \sigma^{2} \leq \sigma^{2}_{o}\) |
| \(Ha: \sigma^{2} \neq \sigma^{2}_{o}\) | \(Ha: \sigma^{2} < \sigma^{2}_{o}\) | \(Ha: \sigma^{2} > \sigma^{2}_{o}\) |
Dependiendo de las condiciones podemos optar por tres diferentes EdeP para la realización de la prueba para una media, aunque tenemos una cuarta posibilidad en el caso de realizarla mediante un método no paramétrico:

Un informe indica que el precio medio del pasaje de avión entre Cali y San Andrés es de $120 mil pesos y su desviación estándar de $40 mil pesos. Se toma una muestra que se registra a continuación. ¿Se puede aceptar, con un nivel de significación igual a \(\alpha=0.1\), las afirmaciones acerca de la media? |
165.1, 91.8, 128.3, 160.3, 103.6, 153.2, 50.7, 150.3, 160.8, 38.1, 98.8, 88.7, 123.1, 106.5, 79.5, 84.1, 216.1, 139.8, 98.4, 127.1, 103.0, 83.7, 158.8, 126.1, 113.4, 61.3, 79.8, 121.8, 89.9, 97.4, 134.0, 141.2, 154.3, 122.4, 107.6, 137.7, 121.0, 187.7, 56.8, 79.5, 183.8, 114.7, 80.2, 97.3, 113.8, 92.4, 123.5, 138.4, 114.7, 48.8, 178.1, 106.0, 103.1, 100.8, 180.7, 113.1, 121.4, 163.0, 51.4, 135.5,104.5, 202.1, 171.0, 100.7, 56.4, 99.7, 93.0, 118.3, 110.4, 136.9, 112.3, 69.8, 138.3, 87.2, 121.8, 118.6, 174.5, 77.7, 158.5, 85.3, 71.4, 63.0, 140.9, 126.9, 194.2, 136.7, 98.8, 222.5, 131.3, 175.0, 127.7, 88.5, 104.5, 144.7, 73.0, 97.2, 131.0, 120.5, 166.6, 96.0 .
Las pruebas a contrastar son:
\(Ho: \mu= 120\)
\(Ha: \mu \neq 120\)
Antes de realizar la prueba debemos de determinar si la distribución de la población de precios es normal, para lo cual realizaremos la prueba de normalidad de Shapiro Wilk
\(Ho: X \hspace{0.3cm}\sim norm\)
\(Ha: X \hspace{.3cm} no \sim
norm\)
precio=c(165.1, 91.8, 128.3, 160.3, 103.6, 153.2, 50.7, 150.3, 160.8, 38.1, 98.8, 88.7, 123.1, 106.5, 79.5, 84.1, 216.1, 139.8, 98.4, 127.1, 103.0, 83.7, 158.8, 126.1, 113.4, 61.3, 79.8, 121.8, 89.9, 97.4, 134.0, 141.2, 154.3, 122.4, 107.6, 137.7, 121.0, 187.7, 56.8, 79.5, 183.8, 114.7, 80.2, 97.3, 113.8, 92.4, 123.5, 138.4, 114.7, 48.8, 178.1, 106.0, 103.1, 100.8,180.7,113.1,121.4,163.0,51.4,135.5,104.5,202.1,171.0,100.7, 56.4, 99.7, 93.0, 118.3, 110.4, 136.9, 112.3, 69.8, 138.3, 87.2, 121.8, 118.6, 174.5, 77.7, 158.5, 85.3, 71.4, 63.0, 140.9, 126.9, 194.2, 136.7, 98.8, 222.5, 131.3, 175.0, 127.7, 88.5, 104.5, 144.7, 73.0, 97.2, 131.0, 120.5, 166.6, 96.0)
boxplot(precio, horizontal = TRUE, col = c45, xlab="precio ($000)")

shapiro.test(precio)
Shapiro-Wilk normality test
data: precio
W = 0.9853, p-value = 0.3337
De acuerdo con los resultados obtenidos en la prueba de Shapiro podemos suponer y aplicando la regla 3 (que se trata más adelante) podemos suponer que los datos siguen una distribucion aproximadamente normal. Cumplido este supuesto y al no tener conocimiento del valor de la varianza utilizaremos una prueba t para una media
t.test(precio,
alternative = "two.sided", # tipo de prueba
mu = 120, # valor a contrastar
conf.level = 0.90) # nivel de confianza
One Sample t-test
data: precio
t = -0.39343, df = 99, p-value = 0.6949
alternative hypothesis: true mean is not equal to 120
90 percent confidence interval:
112.159 124.837
sample estimates:
mean of x
118.498
Para tomar una decisión sobre las hipótesis de acuerdo con los resultados podemos utilizar tres reglas:
Si el EdeP cae en la RdeR, entonce se
RECHAZA la Ho y se acepta Ha
como verdadera. Si por el contrario el EdeP NO cae en la
RdeR, entonces NO SE RECHAZA Ho, no existe
suficiente evidencia para rechazarla, asumimos que
Ho es verdad.
En este caso es necesario determinar la región de rechazo
(RdeR) de acuerdo al tipo de hipótesis y a la distribución
del estadistico de prueba. En esta caso estamos realizando una prueba de
dos colas, para un estadistico de prueba con distribución t-Student con
99 grados de libertad.
Para determinar la RdeR, a a prtir del nivel de
significancia asumido, se buscan los percentiles \(t_{0.025; v=59}\) y \(t_{0.975;v=59}\) para la distribución
t-Student.
qt(c(0.025,0.975),99)
[1] -1.984217 1.984217
library(ggdistribute)
p=ggdistribution(dt, seq(-3, +3, 0.1), df = 99, colour = "blue")
p=ggdistribution(dt, seq(-3, qt(0.025,99), 0.1), df = 99, colour = 'blue', fill="red", p=p)
p=ggdistribution(dt, seq(qt(0.975,99),+3, 0.1), df = 99, colour = 'blue', fill="red", p=p)+
ggtitle("Región de rechazo : (-Inf, -1.984217) (1.984217, +Inf)")
p

Como el EdeP (t = -0.39343) NO cae en la
RdeR, entonces NO rechazamos Ho, asuminos
Ho es verdadera, es decir \(\mu\) de los precios es igual a 120 mil
pesos.
Si \(\alpha >\)
valor-p entonces rechazamos \(H_{0}\), se acepta
Ha como verdadera. Si por el contrario \(\alpha <\) valor-p, no
rechazamos Ho, asumimos que
Ho es verdad.
El valor-p corresponde al área delimitada por el EdeP en
el sentido que indica la RdeR de la prueba a contrastar. Es
decir que corresponde a la probilidad máxima de cometer
error tipo I.
Gil, Jacky F.; Castañeda, Javier A (2005) lo definen como :
El resultado de la prueba de hipótesis se basa principalmente en el cálculo, en términos de probabilidad, de la fuerza de los hallazgos a favor de la hipótesis nula. Esta probabilidad recibe el nombre de valor-p, y se define como la probabilidad de cometer un falso positivo por efecto del azar, cuando la hipótesis nula es verdadera.
Como el valor de \(\alpha >\)
valor-p (0.05 > p-value = 0.6949) entonces No se rechaza
Ho, se ASUME que Ho es verdad. El
promedio de los precios es igual a $ 120.
El valor-p se interpreta como el error que puedo cometer
al rechazar Ho, siendo esta verdadera (cometer
error tipo I). Si este valor es considerado como pequeño,
rechazo Ho, se ACEPTA Ha. Si por
el contrario se considera este valor grande, entonce no rechazo
Ho, asumo que Ho es verdad.
En este caso valoramos si el valor-p (p-value = 0.6949)
es grande o pequeño. En esta caso se puede considerar que su valor es
muy grande y por lo tanto no nos atrevemos a rechazar Ho,
asumimos que \(Ho\) es verdadera, es
decir que la media de los precios es igual a $ 120.
Al aplicar las últimas dos reglas (2 y 3) no se requiere la construcción de una \(RdeR\) para tomar la decisión. Solo con revisar el valor-p entregado por la prueba y aplicar la regla se toma la decisión. En adelante utilizaremos las reglas 2 y 3 dado que al ejecutar las funciones en R nos sumunistran información sobre valor-p.
Una operación en una línea de producción debe llenar cajas con detergente hasta un peso promedio de 32 onzas. Periódicamente se selecciona una muestra de cajas llenas, que se pesan para determinar a partir del promedio, si están faltas o sobradas de detergente. Si los datos de la muestra llevan a la conclusión de que les falta o sobra detergente, se debe parar la línea de producción y hacer los ajustes necesarios para que el llenado sea correcto. Con el fin de afianzar los conceptos expuestos, te invito a responder los siguientes interrogantes :|
(a.) Formule la hipótesis nula y alternativa que lleven a decidir si es conveniente parar y ajustar la línea de producción o no.
(b.) Comente la conclusión a que se llegaría en caso de que no se rechazase \(Ho\) y cuando si ocurriese.
(c.) Cuándo se comete error tipo I y cuando el tipo II.
(d.) Bajo condiciones de distribución normal, determine la región de rechazo para una \(\alpha= 0.05\) y para \(\alpha= 0.08\)
En este caso debemos tener en cuenta que la muestra sea mayor a 30 con el fin de tener estimaciones mas robustas para estimar la proporción poblacional.
Una empresa al seleccionar su personal, lo somete a un curso de entrenamiento. Por su experiencia se conoce que el 76% de los aspirantes aprueban el curso. Durante el último proceso, los encargados efectúan cambios al programa de entrenamiento, con el fin de realizar una selección más exigente. Para esta versión se inscriben 40 aspirantes de los cuales lo aprueban el proceso 24. ¿Podría afirmarse que los cambios realizados en el programa de entrenamiento reducen la selección?
Debemos realizar una prueba de cola inferior debido al sentido que tienen la afirmación que queremos verificar los cambios realizados en el programa de entrenamiento reducen la selección.
Ho: \(p \geq 0.76\)
Ha :\(p < 0.76\)
prop.test(24, 40, p = 0.76,
alternative = "less",
conf.level = 0.95)
1-sample proportions test with continuity correction
data: 24 out of 40, null probability 0.76
X-squared = 4.7711, df = 1, p-value = 0.01447
alternative hypothesis: true p is less than 0.76
95 percent confidence interval:
0.0000000 0.7282033
sample estimates:
p
0.6
Como el valor-p (p-value = 0.01447) es menor que el
nivel de significancia (\(\alpha=0.05\)), rechazamos la hipótesis
nula, aceptamos la hipótesis alterna. Podemos afirmar que \(p<0.76\) . Tienen razón al afirmar que
los cambios realizados en el proceso de selección provocaron una
disminución significativa en la proporción de aprobación.
Un fabricante de baterías para celulares afirma que el tiempo de duración de sus baterías se distribuyen aproximadamente normal con una desviación estándar de 9 horas. Un comprador antes de realizar un pedido de este producto solicita al fabricante una muestra de 10 baterías para verificar la información que le esta dando. Con este propósito son enviadas al laboratorio y se obtienen los siguientes datos Es cierta la información suministrada por el fabricante?
11.1, 15.6, 11.1, 7.5, 7.9, 14.7, 6.3, 8.5, 8.0 , 7.6
library(ggdistribute)
pRdeR=qchisq(c(0.025,0.975),9)
p=ggdistribution(dchisq, seq(0, 30, 0.1), df = 9, colour = 'blue')
p=ggdistribution(dchisq, seq(0, pRdeR[1], 0.1), df = 9, colour = 'blue', fill="blue", p=p)
p=ggdistribution(dchisq, seq(pRdeR[2], 30, 0.1), df = 9, colour = 'blue', fill="blue", p=p)+
ggtitle("Región de rechazo: (0; 2.70) (19.0, Inf) ")
p
pRdeR

t=c(11.1, 15.6, 11.1, 7.5, 7.9, 14.7, 6.3, 8.5, 8.0 , 7.6)
varx=var(t)
EdeP=(length(t)-1)*varx/81
EdeP
[1] 1.135074
Como el \(EdeP\) (1.135074) caen en la \(RdeR\), entonces rechazamos la hipótesis nula, aceptamos la hipótesis alterna como verdadera.
Podemos entonce concluir que \(\sigma^{2} \neq 81\)
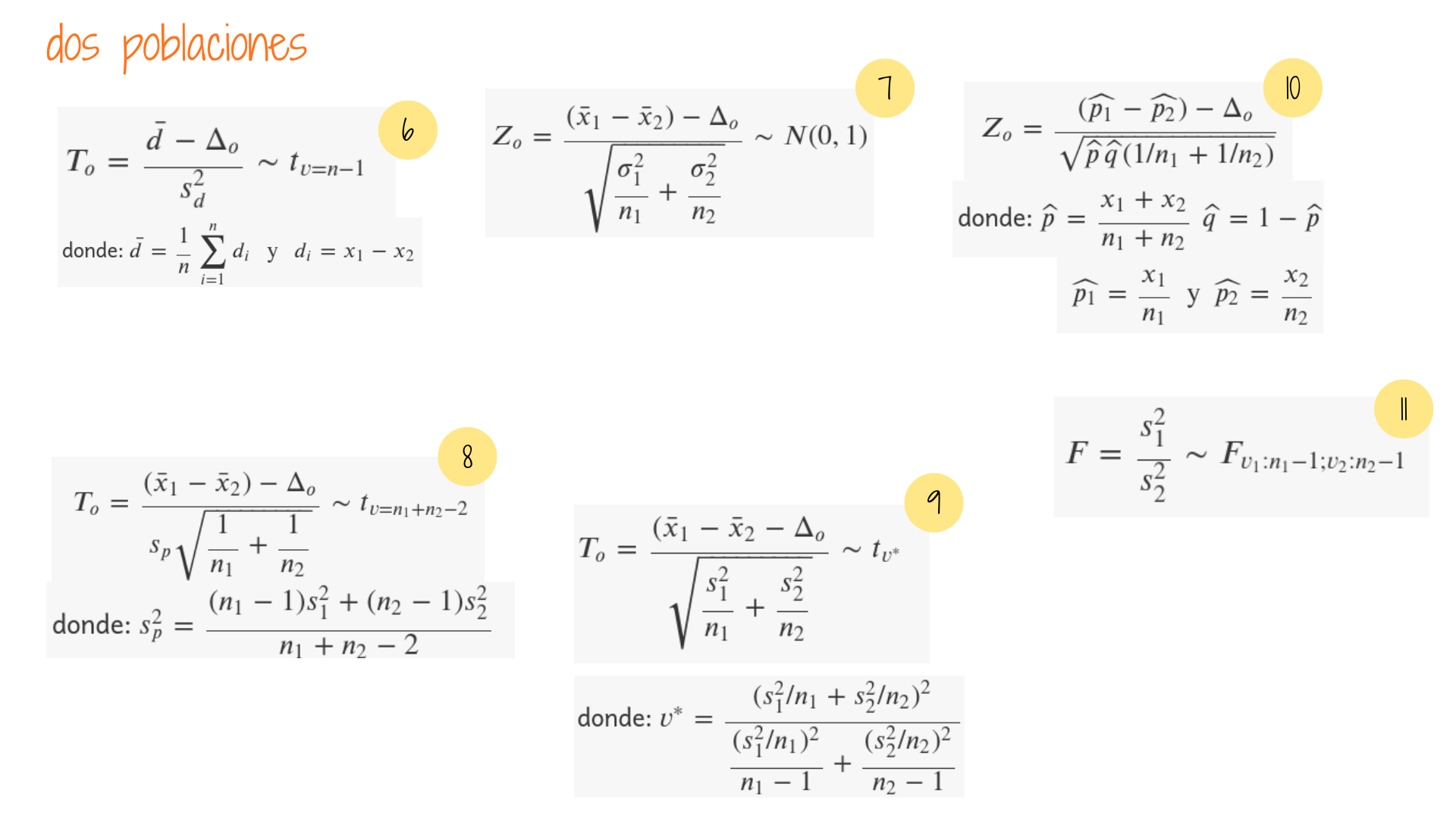
| parámetro | prueba de dos colas | prueba de cola inferior | prueba de cola superior |
|---|---|---|---|
| \(\mu_{1}-\mu_{2}\) | \(Ho: \mu_{1}-\mu_{2}=\Delta_{o}\) | \(Ho: \mu_{1}-\mu_{2} \geq=\Delta_{o}\) | \(Ho: \mu_{1}-\mu_{2}\leq\Delta_{o}\) |
| \(Ha: \mu_{1}-\mu_{2} \neq \Delta_{o}\) | \(Ha: \mu_{1}-\mu_{2} <\Delta_{o}\) | \(Ha: \mu_{1}-\mu_{2} > \Delta_{o}\) | |
| \(p_{1}-p_{2}\) | \(Ho: p_{1}-p_{2} = \Delta_{o}\) | \(Ho: p_{1}-p_{2} \geq\Delta_{o}\) | \(Ho: p_{1}-p_{2} \leq \Delta_{o}\) |
| \(Ha: p_{1}-p_{2} \neq \Delta_{o}\) | \(Ha: p_{1}-p_{2} < \Delta_{o}\) | \(Ha: p_{1}-p_{2} > \Delta_{o}\) | |
| \(\sigma_{1}^{2}/\sigma_{2}^{2}\) | \(Ho: \sigma_{1}^{2} = \sigma^{2}_{2}\) | \(Ho: \sigma_{1}^{2} \geq \sigma_{2}^{2}\) | \(Ho: \sigma_{1}^{2} \leq \sigma_{2}^{2}\) |
| \(Ha: \sigma_{1}^{2} \neq \sigma^{2}_{2}\) | \(Ha: \sigma_{1}^{2} < \sigma_{2}^{2}\) | \(Ha: \sigma_{1}^{2} > \sigma_{2}^{2}\) |

El director de un gimnasio requiere determinar si contrata o no a un instructor para su campaña de reducción de peso. Para tomar la decisión decide tomar un grupo de 16 personas que acuden normalmente para darle una oportunidad a un aspirante al cargo. Los siguientes datos corresponden a los resultados obtenidos antes y después de un mes de estar en el programa. Utilice un nivel de significancia \(\alpha= 0.10\), para determinar si contrata o no al aspirante.|
| pant | 104.5 | 89 | 84.5 | 106 | 90 | 96 | 79 | 90 | 85 | 76.5 | 91.5 | 82.5 | 100.5 | 89.5 | 121.5 | 72 |
| pdes | 98 | 85.5 | 85 | 103.5 | 88.5 | 95 | 79.5 | 90 | 82 | 76 | 89.5 | 81 | 99.5 | 86.5 | 115.5 | 70 |
Ho: \(\mu_{ant} \geq \mu_{des}\)
Ha: \(\mu_{ant} < \mu_{des}\)
pant=c(104.5,89,84.5,106,90,96,79,90,85,76.5,91.5,82.5,100.5,89.5,121.5,72)
pdes=c(98,85.5,85,103.5,88.5,95,79.5,90,82,76,89.5,81,99.5,86.5,15.5,70)
t.test(pant, pdes,
alternative = "less",
mu = 0,
paired = TRUE,
conf.level = 0.95)
Paired t-test
data: pant and pdes
t = 1.2736, df = 15, p-value = 0.8889
alternative hypothesis: true mean difference is less than 0
95 percent confidence interval:
-Inf 19.75467
sample estimates:
mean difference
8.3125
Como el valor-p ( 0.8889) es mayor que nuestro nivel de
significancia (\(\alpha= 0.10\)), no se
rechaza la hipótesis nula, no existe suficiente evidencia en la muestra
que permita rechazarla. Se asume que Ho es verdad. Es decir que no hay
evidencia que el programa reduzca el peso.
\(S_1\): variables con distribución normal \(S_2\): varianzas iguales
Una empresa desarrolla un curso de entrenamiento para sus empleados, formando dos grupos y aplicando dos metodologías diferentes de entrenamiento con el fin de poder evaluar que método produce los mejores resultados. El primer grupo (g1) esta conformado por 36 empleados y el segundo grupo (g2) por 40 empleados . Se puede afirmar que el método aplicado al segundo grupo produce mejores resultados que el aplicado al primer grupo ? ¿Que supuestos debe tener en cuenta?
Grupo 1 6.8, 6.1, 5.8, 5.9, 5.8, 6.4, 5.7, 6.0, 5.9, 6.4, 6.0, 5.7,
6.5, 6.5, 6.0, 5.9, 5.7, 5.8, 5.9, 5.8, 6.0, 6.0, 5.8, 5.7,
6.1, 5.9, 5.2, 6.3, 5.4, 6.5, 5.5, 5.9, 7.0, 6.4, 5.1, 6.3
Grupo 2 8.8, 8.5, 8.4, 8.5, 7.6, 8.7, 8.0, 7.9, 8.2, 8.0, 7.8, 8.6,
8.5, 7.9, 8.5, 8.3, 8.4, 8.2, 8.3, 7.9, 8.2, 7.7, 7.8, 7.7,
8.1, 8.0, 8.3, 8.2, 8.1, 8.3, 8.1, 8.8, 7.7, 9.1, 7.6, 8.4,
8.2, 8.3, 8.1, 8.7
grupo1=c(6.8, 6.1, 5.8, 5.9, 5.8, 6.4, 5.7, 6.0, 5.9, 6.4, 6.0, 5.7,
6.5, 6.5, 6.0, 5.9, 5.7, 5.8, 5.9, 5.8, 6.0, 6.0, 5.8, 5.7,
6.1, 5.9, 5.2, 6.3, 5.4, 6.5, 5.5, 5.9, 7.0, 6.4, 5.1, 6.3)
grupo2=c(8.8, 8.5, 8.4, 8.5, 7.6, 8.7, 8.0, 7.9, 8.2, 8.0, 7.8, 8.6,
8.5, 7.9, 8.5, 8.3, 8.4, 8.2, 8.3, 7.9, 8.2, 7.7, 7.8, 7.7,
8.1, 8.0, 8.3, 8.2, 8.1, 8.3, 8.1, 8.8, 7.7, 9.1, 7.6, 8.4,
8.2, 8.3, 8.1, 8.7)
par(mfrow = c(1, 2))
boxplot(grupo1, las=1, col=c25, ylim=c(5,10))
boxplot(grupo2, las=1, col=c45, ylim=c(5,10))

Iniciaremos con una prueba de hipótesis para la comparación de varianzas:
Ho:\(\sigma^{2}_{1} =
\sigma^{2}_{2}\)
Ha:\(\sigma^{2}_{1} \neq
\sigma^{2}_{2}\)
var.test(grupo1,grupo2)
F test to compare two variances
data: grupo1 and grupo2
F = 1.2975, num df = 35, denom df = 39, p-value = 0.4282
alternative hypothesis: true ratio of variances is not equal to 1
95 percent confidence interval:
0.6776032 2.5137013
sample estimates:
ratio of variances
1.297479
Como el valor-p (0.4282) es mayor al nivel de
significancia (\(\alpha=0.05\)), no
rechazamos la hipótesis nula, no existe suficiente evidencia en la
muestra que permita rechazarla, asumimos que las varianza son
iguales.
Ho: \(\mu_{1} \geq \mu_{2}\)
Ha: \(\mu_{1} < \mu_{2}\)
t.test(grupo1, grupo2,
alternative ="less",
mu = 0,
paired = FALSE,
var.equal = TRUE,
conf.level = 0.95)
Two Sample t-test
data: grupo1 and grupo2
t = -25.413, df = 74, p-value < 2.2e-16
alternative hypothesis: true difference in means is less than 0
95 percent confidence interval:
-Inf -2.072933
sample estimates:
mean of x mean of y
5.991667 8.210000
Como el valor-p (2.2e-16) es menor que el nivel de
significancia, rechazamos la hipótesis nula, aceptamos como verdadera la
hipótesis alterna. La media el primer grupo es significativamente menor
que la media obtenida por el segundo grupo. Esto indica que el método
aplicado al segundo grupo produce mejores resultados.
\(S_1\): variables con distribución normal \(S_2\): varianzas diferentes
Supongamos que la empresa del ejemplo 5, desea comparar los resultados obtenidos por el grupo 2 con un tercer grupo externo con el fin de realizar una valoración adicional que le permita una visión más general de los métodos empleados
grupo3=c(8.4, 7.5, 6.9, 6.6, 7.0, 5.5, 5.5, 7.9, 6.9, 7.3, 4.7, 5.5, 6.7, 8.3,
6.0, 6.3, 5.5, 8.4, 7.1, 5.3, 6.9, 5.5, 7.2, 6.5, 6.1, 7.8, 7.4, 6.6,
6.8, 6.0, 6.9, 7.4, 4.9, 6.2, 7.3, 6.2)
grupo2=c(8.8, 8.5, 8.4, 8.5, 7.6, 8.7, 8.0, 7.9, 8.2, 8.0, 7.8, 8.6, 8.5, 7.9,
8.5, 8.3, 8.4, 8.2, 8.3, 7.9, 8.2, 7.7, 7.8, 7.7, 8.1, 8.0, 8.3, 8.2,
8.1, 8.3, 8.1, 8.8, 7.7, 9.1, 7.6, 8.4, 8.2, 8.3, 8.1, 8.7)
par(mfrow = c(1, 2))
boxplot(grupo3, las=1, col=c25, ylim=c(5,10))
boxplot(grupo2, las=1, col=c45, ylim=c(5,10))

var.test(grupo3,grupo2)
F test to compare two variances
data: grupo3 and grupo2
F = 7.2974, num df = 35, denom df = 39, p-value = 1.334e-08
alternative hypothesis: true ratio of variances is not equal to 1
95 percent confidence interval:
3.811031 14.137763
sample estimates:
ratio of variances
7.297388
t.test(grupo3, grupo2,
alternative ="less",
mu = 0,
paired = FALSE,
var.equal = FALSE,
conf.level = 0.95)
Welch Two Sample t-test
data: grupo3 and grupo2
t = -9.2548, df = 43.571, p-value = 3.781e-12
alternative hypothesis: true difference in means is less than 0
95 percent confidence interval:
-Inf -1.285811
sample estimates:
mean of x mean of y
6.638889 8.210000
En este caso tenemos una comparación de medias para grupos independientes con varianzas diferentes (como se muestra en el resultado de var.test) .
Analizando el resultado de la prueba t-Student, el
valor-p resultante (3.781e-12) indica que se rechaza la
hipótesis nula, se acepta la hipótesis alterna como verdadera. Podemos
afirmar que existen diferencias significativas entre las dos medias.
Una encuesta realizada a 100 usuarios de una tarjeta de crédito seleccionados aleatoriamente, 57 dijeron que sabían que empleando su tarjeta podían ganar millas de viajero. Después de una campaña publicitaria para difundir este beneficio, se realizo una encuesta independiente entre 150 usuarios de la tarjeta de crédito y 87 informaron que conocían el beneficio. ¿Se puede concluir que el conocimiento de este beneficio aumento después de la campaña publicitaria?
Ho: \(p_{1} \geq p_{2}\)
Ha:
\(p_{1} < p_{2}\)
prop.test(c(57,87),c(100,150),
p = NULL,
alternative = "less",
conf.level = 0.95)
2-sample test for equality of proportions with continuity correction
data: c(57, 87) out of c(100, 150)
X-squared = 0.00068243, df = 1, p-value = 0.4896
alternative hypothesis: less
95 percent confidence interval:
-1.0000000 0.1033338
sample estimates:
prop 1 prop 2
0.57 0.58
Como el valor-p ( 0.4896) es mayor al nivel de
significancia, no se rechaza la hipótesis nula, no existe suficiente
evidencia en la muestra que permita rechazarla, asumimos que Ho es
verdad. Por tal motivo no se perciben mejoras el conocimiento de los
beneficios que trae el uso de la tarjeta de crédito. Se recomienda
revisar la forma en que se realiza la campaña publicitaria.
Hasta el momento nos hemos dedicado a la estadística parametrica, que exige la estimación de parámetros y de la comprobación de supuestos sobre las distribuciones de las variables, como por ejemplo que se distribuyan normal.
Note que la distribución normal esta relacionada con las distribuciones t-student, chi-cuadrado y F entre otras.
Entre las principales pruebas no paramétricas estan :
| No. de grupos de datos | 1 o 2 |
| Variable dependiente | En escala al menos ordinal |
| Objetivo | Esta prueba puede ser utilizada para determinar si la diferencia entre el numero de veces que los datos caen a un lado de la media verdadera es significativamente diferente al número de veces que cae en el otro lado . Determinar si la diferencia entre el numero de veces en que el valor de una variable es mayor que el de la otra y el numero de veces que es menor es estadísticamente significativa. Versión no paramétrica de la prueba t para una muestra o de la prueba t para muestras pareadas. Esta prueba se realiza sobre la mediana de los datos \(Me\). |
Carlos y Ángela, Administradoras investigadores de una firma de artículos deportivos tienen la creencia que el deporte afecta la imagen que cada persona tiene de si misma. Para investigar esta posibilidad eligieron a 18 personas de manera aleatoria, para participar en un programa de ejercicios. Antes de empezar el programa las personas respondieron un cuestionario para medir su propia imagen. Un nivel de 15 puntos en la prueba establece que la persona tiene un concepto indiferente frente a la afirmación, valores menores de 15 que la afecta en forma negativa y valores por encima de 15 que afectan su imagen en forma positiva. Los siguientes son resultados obtenidos : 16, 15, 12, 17, 18, 14, 16, 14, 16, 17, 19, 16, 14, 21, 20, 16, 16, 16
x.img=c(16, 15, 12, 17, 18, 14, 16, 14, 16, 17, 19, 16, 14, 21, 20, 16, 16, 16 )
Hipótesis Nula \(Ho: Me = 15\)
Hipótesis Alterna \(Ha : Me > 15\)
Estadístico de Prueba : \(M +\) : Numero de signos positivos
| 12 | 14 | 14 | 14 | 15 | 16 | 16 | 16 | 16 | 16 | 16 | 16 | 17 | 17 | 18 | 19 | 20 | 21 |
| - | - | - | - | + | + | + | + | + | + | + | + | + | + | + | + | + |
M+ = 13 Regla de Decisión (Distribución Binomial p=0.5 n= 17) \(P(X\leq 13) = 1-0.9755 = 0.0245\) ( valor-p)
Se rechaza la hipótesis nula, se acepta la hipótesis alterna. Se puede afirmar que las personas tienen la creencia que el deporte afecta positivamente su imagen.
library(BSDA)
SIGN.test(x.img,md=15,alternative = "greater")
One-sample Sign-Test
data: x.img
s = 13, p-value = 0.02452
alternative hypothesis: true median is greater than 15
95 percent confidence interval:
16 Inf
sample estimates:
median of x
16
Achieved and Interpolated Confidence Intervals:
Conf.Level L.E.pt U.E.pt
Lower Achieved CI 0.8811 16 Inf
Interpolated CI 0.9500 16 Inf
Upper Achieved CI 0.9519 16 Inf
| Tipo de variable | Cualitativa |
| Número de categorias | \(k > 2\) valores |
| Objetivo | Determinar si la diferencia entre las frecuencias de cada uno de los valores de la variable y unas determinadas frecuencias teóricas son estadísticamente significativas. Utilizada para comprobar el supuesto de normalidad, o de otras distribuciones. |
El dueño de una panadería tiene la posibilidad de controlar los niveles de inventarios de leche para cuatro marcas diferentes. Con el fin de establecer políticas para la realización de nuevos pedidos requiere saber si la demanda de estas marcas son iguales (distribución uniforme). Con este propósito tomo la información de un día:
| Producto | Alpina | Alqueria | Colanta | Proleche |
|---|---|---|---|---|
| ventas (obs) | 33 | 22 | 21 | 24 |
| prob.esperada (esp) | 0.25 | 0.25 | 0.25 | 0.25 |
| de acuerdo a Ho |
Ho: Las ventas se distribuyen de manera uniforme (cantidad demandada
es igual para todas las marcas)
Ha: Las ventas no tienen una
distribución uniforme
obs=c(33,22,21,24)
esp=c(0.25,0.25,0.25,0.25)
chisq.test(x=obs,p=esp)
Chi-squared test for given probabilities
data: obs
X-squared = 3.6, df = 3, p-value = 0.308
Un profesor desea establecer si los resultados obtenidos por sus estudiantes tienen una distribución normal con media 3.5 y desviación estándar 0.7 puntos. Los datos se resumen en la siguiente tabla: |
nf=c(4.1, 2.7, 3.1, 3.2, 3.0, 3.2, 2.0, 2.4, 1.6, 3.2, 3.1, 2.6, 2.0, 2.4, 2.8,
3.3, 4.0, 3.4, 3.0, 3.1, 2.7, 2.7, 3.0, 3.8, 3.2, 2.2, 3.5, 3.5, 3.8, 3.5,
3.9, 4.2, 4.3, 3.9, 3.2, 3.5, 3.5, 3.7, 4.1, 3.7, 3.5, 3.6, 3.2, 3.1, 3.4,
3.0, 3.0, 3.0, 2.7, 1.7, 3.6, 2.1, 2.4, 3.0, 3.1, 2.5, 2.5, 3.6, 2.2, 2.4,
3.1, 3.3, 2.7, 3.7, 3.0, 2.7, 3.0, 3.2, 3.1, 2.4, 3.0, 2.7, 2.5, 3.0, 3.0,
3.0, 3.2, 3.1, 3.8, 4.1, 3.7, 3.5, 3.0, 3.7, 3.7, 4.1, 3.7, 3.9, 3.7, 2.0)
nf=c(4.1, 2.7, 3.1, 3.2, 3.0, 3.2, 2.0, 2.4, 1.6, 3.2, 3.1, 2.6, 2.0, 2.4, 2.8, 3.3, 4.0, 3.4, 3.0, 3.1, 2.7, 2.7, 3.0, 3.8, 3.2, 2.2, 3.5, 3.5, 3.8, 3.5, 3.9, 4.2, 4.3, 3.9, 3.2, 3.5, 3.5, 3.7, 4.1, 3.7, 3.5, 3.6, 3.2, 3.1, 3.4, 3.0, 3.0, 3.0, 2.7, 1.7, 3.6, 2.1, 2.4, 3.0, 3.1, 2.5, 2.5, 3.6, 2.2, 2.4, 3.1, 3.3, 2.7, 3.7, 3.0, 2.7, 3.0, 3.2, 3.1, 2.4, 3.0, 2.7, 2.5, 3.0, 3.0, 3.0, 3.2, 3.1, 3.8, 4.1, 3.7, 3.5, 3.0, 3.7, 3.7, 4.1, 3.7, 3.9, 3.7, 2.0)
h=hist(nf, las=1, col=c45, main=" ", xlab=" ", ylab=" ")

lim.nf=h$breaks # cortes de los intervalos
obs.nf=h$counts # valores observados
mx=mean(nf) # media
sdx=sd(nf) # desviación estandar
Fx.nf=pnorm(lim.nf, mx,sdx) # probabilidades en caso de que Ho sea verdadera
prob.nf=Fx.nf[2:7]-Fx.nf[1:6]
esp.nf=prob.nf+0.002300453 # ajuste para que el sum(esp.nf)=1
chisq.test(x=obs.nf,p=esp.nf)
Warning in chisq.test(x = obs.nf, p = esp.nf): Chi-squared approximation may be
incorrect
Chi-squared test for given probabilities
data: obs.nf
X-squared = 2.8988, df = 5, p-value = 0.7156
Un investigador desea establecer la relación que puede existir entre la calificación obtenida por un producto por parte de sus consumidores y su ubicación de residencia. Con este fin recoge información de 100 de sus clientes:
| Urbano | Rural | Total | |
|---|---|---|---|
| Calificación | |||
| Bueno | 20 | 11 | 31 |
| Regular | 40 | 8 | 18 |
| Malo | 15 | 6 | 21 |
| Total | 75 | 25 | 100 |
| \(Ho\) : Las variables lugar de residencia y calificación son independientes |
| \(Ha\) : Las variables lugar de residencia y calificación no son independientes |
El siguiente código da solución a la constrastación de las hipótesis
m=c(20,40,15,11,8,6)
m=as.table(matrix(m,nrow=3))
rownames(m)=c("Bueno", "Regular", "Malo")
colnames(m)=c("Urbano", "Rural")
m
Urbano Rural
Bueno 20 11
Regular 40 8
Malo 15 6
chisq.test(m)
Pearson's Chi-squared test
data: m
X-squared = 3.7378, df = 2, p-value = 0.1543
Como p-value = 0.1543 lo podemos considerar grande, no
se rechaza \(Ho\), asumimos que \(Ho\) es verdad, es decir que las variables
lugar de residencia y calificación son independientes. Esto implica que
la calificación dada por las personas entrevistadas no está relacionada
con su calificación.
| No. de grupos | 2 |
| Variable dependiente | En escala al menos ordinal |
| Objetivo | Determinar su la diferencia entre la magnitud de las diferencias positivas entre los valores de las dos variables y la magnitud de las diferencias negativas es estadística mente significativas. Versión no parametrica de la prueba t para muestras pareadas |
Los siguiente datos se tomaron de un estudio de comparación de adolescentes sanos (G1) y de adolescentes con bulimia (G2). El primer grupo está conformado por 15 estudiantes y el segundo grupo por 14 estudiantes y corresponden al consumo diario en calorías. Los datos obtenidos son los siguientes:
g1 = c(68,32,58,16,23,53,55,32,61,29,50,64,67,37) g2 = c(39,10,21,29,11,26,7,12,28,32,30,27,50,19,24)
Antes de realizar la comparación de medias, se debe realizar una prueba de bondad de ajuste para establecer si los datos siguen una distribución normal o no. En caso de que los datos no tengan distribución normal, entonces se debe realizar una prueba no paramétrica.
| \(Ho\) : \(Me_{g1} \leq Me_{g2}\) |
| \(Ha\) : \(Me_{g1} > Me_{g2}\) |
g1=c(68,32,58,16,23,53,55,32,61,29,50,64,67,37)
g2=c(39,10,21,29,11,26,7,12,28,32,30,27,50,19,24)
# independent 2-group Mann-Whitney U Test
wilcox.test(g1,g2,paired = FALSE,alternative = "greater")
Warning in wilcox.test.default(g1, g2, paired = FALSE, alternative =
"greater"): cannot compute exact p-value with ties
Wilcoxon rank sum test with continuity correction
data: g1 and g2
W = 178, p-value = 0.0007714
alternative hypothesis: true location shift is greater than 0
Se rechaza Ho , se acepta Ha. Se puede concluir que las dos poblaciones son diferentes. por lo tanto las medias son diferentes.
Para analizar cual de los grupos presenta un mayor consumo de calorías, se observa que el Grupo I tiene suma de rangos de 168 y el Grupo II tiene suma de rangos de 273, lo que indica que los datos del Grupo I tienen valores menores en que los del Grupo II
Por lo tanto los estudiantes sanos presentan consumo de calorías menores que los estudiantes que padecen de bulimia.
| Numero de grupos | k |
| Variable dependiente | En escala al menos ordinal |
| Objetivo | Determinar si las diferencias entre las medias de los rangos (asignados a las observaciones ordenadas) en los k grupos son estadísticamente significativas. Versión no parametrica del ANOVA. |
Para verificar si la memoria cambia con la edad, una investigadora realiza un estudio en el cual hay tres grupos de personas: G1- 60 años de edad, G2: con 50 años de edad, G3: con 40 años de edad. A cada persona se le presenta una serie de palabras. La serie es presentada dos veces y se cuenta el número de palabras que pueden recordar. |
| Grupo 1 | 28 | 19 | 13 | 28 | 29 | 22 | 21 |
| Grupo 2 | 26 | 20 | 11 | 14 | 22 | 21 | |
| Grupo 3 | 37 | 28 | 26 | 35 | 31 |
| \(Ho\) : Las poblaciones son idénticas |
| \(Ha\) : Las poblaciones no son idénticas |
Las anteriores hipótesis implica que sus distribuciones son las mismas (medias y varianzas iguales)
g1=c(28,19,13,28,29,21)
g2=c(26,20,11,14,22,21)
g3=c(37,28,26,35,31)
kruskal.test(g1,g2,g3)
Kruskal-Wallis rank sum test
data: g1 and g2
Kruskal-Wallis chi-squared = 5, df = 5, p-value = 0.4159
Se requiere establecer si existe relación entre el tiempo de estudio dedicado a la preparación de una evaluación y la nota obtenida. Como la nota obtenida representa una variable cualitativa, se debe utilizar una prueba no paramétrica (coeficiente de correlación de Spearman). Los datos obtenidos son los siguientes: |
| Tiempo | 21 | 18 | 15 | 17 | 18 | 25 | 18 | 4 | 6 | 5 |
| Nota | 4 | 4 | 4 | 3 | 3 | 5 | 3 | 1 | 1 | 2 |
x=c(21,18,15,17,18,25,18,4,6,5)
y=c(4,4,4,3,3,5,3,1,1,2)
plot(x,y, las=1, pch=19, col=c46)

cor.test(x,y, method = "spearman",continuity = FALSE,conf.level = 0.95)
Spearman's rank correlation rho
data: x and y
S = 30.693, p-value = 0.004157
alternative hypothesis: true rho is not equal to 0
sample estimates:
rho
0.8139814
En este caso se utiliza el coeficiente de correlación de Sperman para valorar la relación entre las variables debido a que la nota es una variable que podríamos llamar cualitativa, operacionalizada cuntitativa con una nota.
=aleatorio.entre(), obteniendo como resultado los
siguientes números:
0.738, 0.202, 0.357, 0.561, 0.509, 0.146, 0.746, 0.666, 0.133, 0.430, 0.972, 0.999, 0.499, 0.869, 0.821, 0.732, 0.355, 0.189, 0.478, 0.162 .
| \(Ho\) : La muestra es aleatoria |
| \(Ha\) : La muestra no es aleatoria |
library("randtests")
y=rnorm(100,120,20)
runs.test(y)
Runs Test
data: y
statistic = 0.80407, runs = 55, n1 = 50, n2 = 50, n = 100, p-value =
0.4214
alternative hypothesis: nonrandomness
Como el valor-p (0.3149) es mayor al nivel de
significancia, no se rechaza la hipótesis nula, no existe suficiente
evidencia en la muestra que permita rechazarla, asumimos que los datos
son aleatorios.
Uno de los procedimientos mas utilizados en estadística es la relacionada con la verificación de normalidad de una variable.
| \(Ho\): X tiene distribución Normal |
| \(Ha\): X no tiene distribución Normal |
Existen muchas pruebas que nos ayudan en este propósito, a continuación relacionamos algunas de ellas
# se genera una variable aleatoria normal
x=rnorm(200,1000,50)
plot(density(x), main=" ", las=1, xlab = " ", ylab=" ", col=c35, lwd=4)

# se genera una variable aleatoria normal
x=rnorm(200,1000,50)
shapiro.test(x)
Shapiro-Wilk normality test
data: x
W = 0.99079, p-value = 0.2326
Esta prueba no requiere la instalación de paquetes adicionales, pues está disponible en la configuración básica de R
Como el valor-p es superior al nivel de significancia
\(\alpha\), no se rechaza \(Ho\), se asume que la distribución de la
variable es normal.
# se genera una variable aleatoria normal
x=rnorm(200,1000,50)
#install.packages("normtets")
library(normtest)
jb.norm.test(x) # Test de normalidad de Jarque-Bera
Jarque-Bera test for normality
data: x
JB = 0.57587, p-value = 0.7285
kurtosis.norm.test(x)
Kurtosis test for normality
data: x
T = 2.7397, p-value = 0.4025
skewness.norm.test(x)
Skewness test for normality
data: x
T = -0.018222, p-value = 0.917
# install.packages("nortets")
library(nortest)
lillie.test(x) # Kolmogorov-Smirnov
Lilliefors (Kolmogorov-Smirnov) normality test
data: x
D = 0.029678, p-value = 0.9377
pearson.test(x) # chi-cuadrado de Pearson
Pearson chi-square normality test
data: x
P = 5.87, p-value = 0.9697
En todos los casos el valor-p es inferior al valor de \(\alpha = 0.05\), por tal razón se asume que los datos siguen una distribución normal.


| Regla1: | Si el \(EdeP\) cae en la \(RdeR\), entonce se rechaza la \(H_{0}\) y se acepta \(H_{a}\) como verdadera. Si por el contrario el \(EdeP\) NO cae en la \(RdeR\), entonces NO se rechaza \(H_{0}\), no existe suficiente evidencia para rechazarla, asumimos que \(H_{0}\) es verdad. |
| Regla2: | Si \(\alpha >\)
valor-p entonces rechazamos \(H_{0}\), se acepta \(H_{a}\). Si por el contrario \(\alpha<\) valor-p, no
rechazamos \(H_{0}\),
asumimos que \(H_{0}\)
es verdad. |
| Regla3: | El valor-p se interpreta como el error que
puedo cometer al rechazar \(H_{0}\),
siendo esta verdadera (cometer error tipo I). Si este valor es
considerado como pequeño, rechazo \(H_{0}\), se acepta \(H_{a}\). Si por el contrario se considera
este valor grande, entonce no rechazo \(H_{0}\), asumo que \(H_{0}\) es verdad. |

| Pruebas paramétricas | |
| Entrada de datos | |
x1=c(7, 13, 6, 5, 5, 10, 8, 6, 7) |
|
x2=c(3,7,2,3,6,2,1,0,2) |
|
| Una población | |
z.test(datos,mu=10,stdev=4, conf.level=0.98) |
|
t.test(datos, mu=10,conf.level=0.98) |
|
t.test(datos, mu=10,conf.level=0.98,alternative="greater") |
|
t.test(datos, mu=10,conf.level=0.98,alternative="less) |
|
prop.test(x=22,n=100, p=0.20, conf.level=0.98) |
|
| Dos poblaciones | |
t.test(x1,x2, paired=TRUE) |
|
t.test(x1,x2, paired=FALSE, var.equal=TRUE, conf.level=0.95) |
|
t.test(x1,x2, paired=FALSE, var.equal=FALSE, conf.level=0.98) |
|
var.test(x,y) |
|
prop.test(c(x1,x2), c(n1,n2)) |
|
| Pruebas no paramétricas | |
chisq.test(x=obs,p=esp) |
|
| paquete: MASS | library(MASS) |
chisq.test(M) # M: matriz |
|
| paquete: BSDA | library(BSDA) |
SIGN.test(x,md=15,alternative = "greater") |
|
wilcox.test(g1,g2,paired = FALSE,alternative = "less") |
|
| Pruebas de normalidad | |
shapiro.test(x) |
|
| paquete:normtest | library(normtest) |
ajb.norm.test(x) |
|
frosini.norm.test(x) |
|
geary.norm.test(x) |
|
hegazy1.norm.test(x) |
|
hegazy2.norm.test(x) |
|
jb.norm.test(x) |
|
kurtosis.norm.test(x) |
|
skewness.norm.test(x) |
|
spiegelhalter.norm.test(x) |
|
wb.norm.test(x) |
|
| paquete: nortest | library(nortest) |
ad.test(x) |
|
cvm.test(x) |
|
lillie.test(x) |
|
pearson.test(x) |
|
sf.test(x) |
| Tipos de pruebas | |
|---|---|
| Dos colas | \(H_{0}: \theta = \theta_{o}\) vs \(H_{0}: \theta \neq \theta_{o}\) |
| Cola superior | \(H_{0}: \theta \leq \theta_{o}\) vs \(H_{0}: \theta > \theta_{o}\) |
| Cola inferior | \(H_{0}: \theta \geq \theta_{o}\) vs \(H_{0}: \theta < \theta_{o}\) |
Con el siguiente código en R , podrán abrir un tutorial con problemas propuestos sobre el tema. Es necesario para ello abrir la consola de R o RStudio y correr el código
Si ya se tienen instalados los paquetes learnr y
remotes, no es necesario hacerlo nuevamente. El paquete
paquetepye si debe ser instalado cada vez que sea utilizado
con el fin de incorporar nuevas actualizaciones
install.packages("learnr") # solo una vez
install.packages("devtools") # solo una vez
devtools::install_github("dgonxalex80/paqueteDEG")
learnr::run_tutorial("Taller_pruebas1", "paqueteDEG")
install.packages("learnr") # solo una vez
install.packages("devtools") # solo una vez
devtools::install_github("dgonxalex80/paqueteDEG")
learnr::run_tutorial("Taller_pruebas1", "paqueteDEG")

learnr::run_tutorial("Taller_pruebas2", "paqueteDEG")

Nota: para la instalacion del paquete distributions se requiere la instalcion del paquete ctv : https://cran.r-project.org/web/views/Distributions.html